控制電纜
控制電纜
高柔性PVC屏蔽拖鍊伺服動力電纜 CLASSIC SERVO-CY-FD 更多産品
- · H05V-K/H07V-K
- · 柔性PVC屏蔽編碼器電纜 CLASSIC SENSOR-CY
- · 伺服電機PVC非屏蔽電纜 CLASSIC SERVO-CY
- · 伺服機PVC非屏蔽電纜 CLASSIC SERVO-YY
- · 高柔性PVC屏蔽拖鍊伺服動力電纜 CLASSIC SERVO-CY-FD
- · 高柔性PVC非屏蔽拖鍊伺服動力電纜 CLASSIC SERVO-YY-FD
- · 柔性PVC屏蔽對絞數據信号電纜 CLASSIC LiYCY-TP-FD
- · 高柔性PVC屏蔽對絞數據信号電纜 CLASSIC LiYCY-FD
- · 高柔性PVC非屏蔽拖鍊控制電纜 CLASSIC LiYY-TP
- · 高柔性PVC屏蔽控制拖鍊控制電纜 CLASSIC CY -FD
- · 高柔性PVC非屏蔽拖鍊控制電纜 CLASSIC YY-TP
- · 柔性PVC屏蔽對絞數據信号電纜 CLASSIC LiYCY-TP
- · 柔性PVC非屏蔽對絞數據信号電纜 CLASSIC LiYY-TP
- · 柔性PVC屏蔽數據信号電纜 CLASSIC LiYCY
- · 柔性PVC非屏蔽數據電纜 CLASSIC LiYY
- · 柔性PVC屏蔽雙護套控制電纜 CLASSIC 2-CY
- · 柔性PVC屏蔽控制電纜 CLASSIC CY
- · 柔性PVC非屏蔽控制電纜 CLASSIC YY
- · 概述
![]()
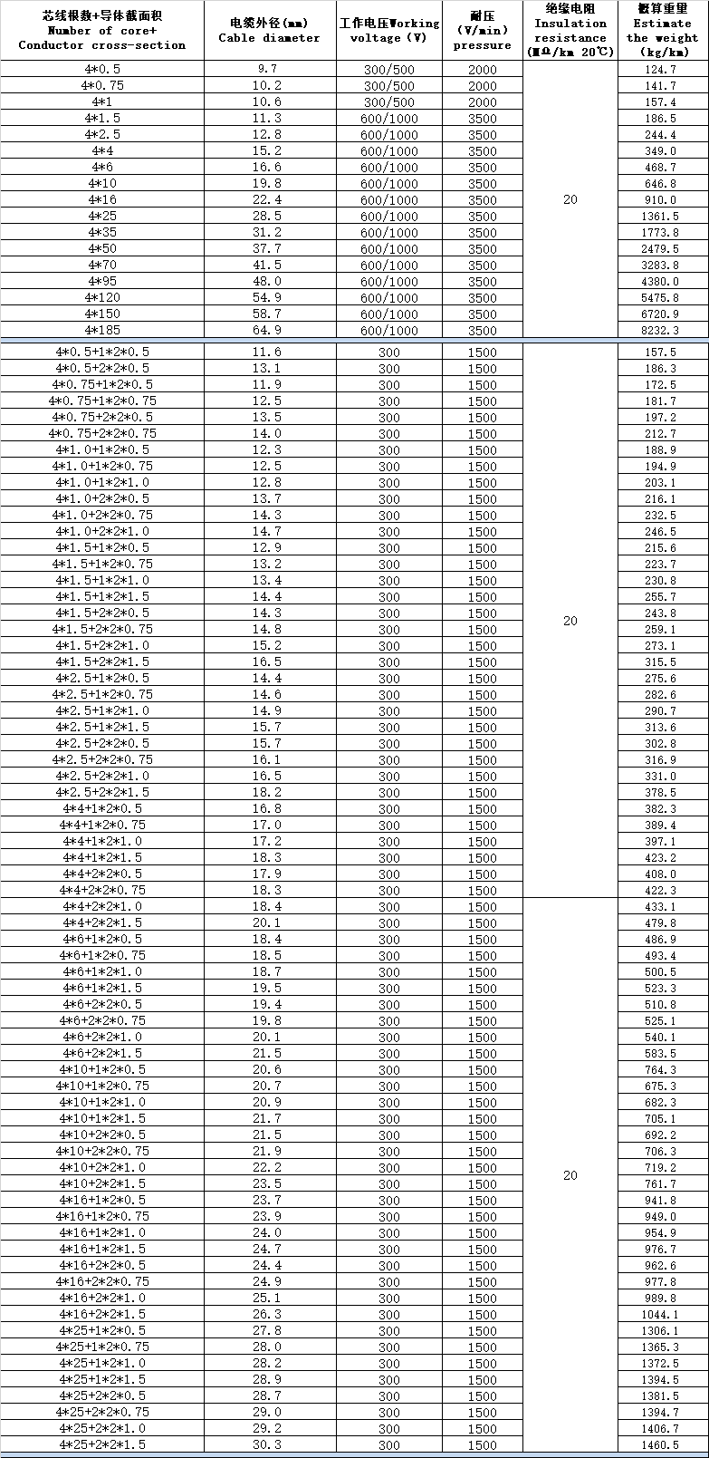
高柔性PVC屏蔽拖鍊伺服動力電纜 CLASSIC SERVO-CY-FD
High flexible PVC shielding servo power cable drag chain SERVO-CY-FD

構造表(Structure table):








